1844年銀行勅許法(1844ねんぎんこうちょっきょほう:Bank Charter Act 1844 (7 & 8 Vict. c. 32))は1844年、ロバート・ピール内閣で成立した英国の法律。1844年ピール銀行法(Peel Banking Act of 1844)などともいい、明治期の日本での呼称は英蘭銀行条例。この法律によりイングランド銀行が中央銀行として銀行券の発券を独占することとなり、それ以外の銀行の銀行券発行が制限されることとなった。経緯は銀行#ゴールドスミスを参照されたい。2009年銀行法 (Banking Act 2009)によりピール銀行条例第6セクションにある「イングランド銀行による発券数の週次決算報告」の廃止が決定された。
概要
この条例は当時、インフレーションの原因であるとして銀行券発行総量の制限を声高に主張していた英国の通貨学派 (currency school)にとっての勝利であり、その内容は彼らの主張を大幅に取り入れたものであった。骨子は以下。
- 個人・株式銀行については新規の発券を禁止。
- 発行権を放棄した銀行は、発行高の3分の2をイングランド銀行の「保証発行」に吸収せよ。
- イングランド銀行については互いに別勘定の発券部と銀行部に分ける。
- 発行高は、1400万ポンドの政府証券引当「保証発行」プラス金属準備高とする。
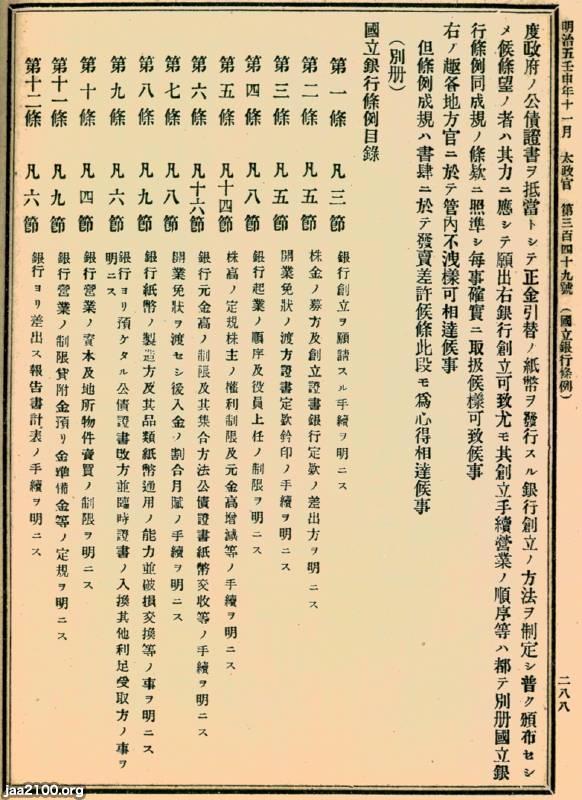
条例の改正については日本の官報にも報じられた。
運用
イングランド銀行以外の銀行は発券済み銀行券を回収しなければならなくなった。同時に、イングランド銀行は発券額面と同額の正貨(金貨や金地金)準備が必要とされ、新たな銀行券発行は金保有量によって制限を受けた。この条例は新たな銀行券が市場へ供給される量を制限する役目を果たし、イングランド銀行を唯一の発券銀行として排他的役割に位置づけた。
新銀行券の発行には100%の金準備率が要求されたが、金融危機の際には政府は条例の効力を保留することが可能となっており、実際、1847年、1857年、1866年にはそれが実行された。
脚注
参考文献
- 官報『英蘭銀行条例改正、他』大蔵省印刷局、1890年。
関連項目
- 金本位制
- 紙幣
- 銀行学派
![]()
![]()


